Liriopesides B

87425-34-1

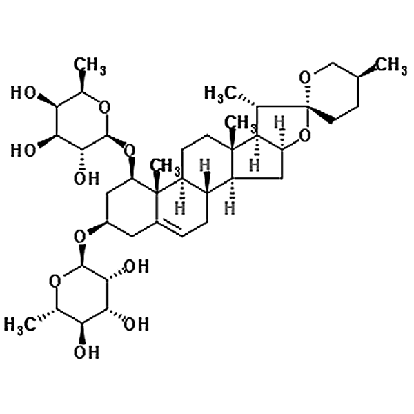
Name:Liriopesides B
Type:87425-34-1
Name:Liriopesides B CAS No.:87425-34-1Molecular formula:C39H62O12Formula weight:722.4Purity:HPLC≥98% Package:20mg~g brown glass bottle or other packaging Appearance:powder Test method:high performance liquid phase (HPLC) Mass spectrometry (Mass) nuclear magnetic resonance (NMR) Storage conditions: store in a light-proof container, refrigerate or freeze for long-term storage. Application: for research use only, not for medical diagnosis. Note: ①the sample solution is now used.If special circumstances require preparation in advance, it is suggested to divide into independent packaging and freeze for storage (below -865℃), and then take out and thaw before use. The storage life is suggested to be less than two weeks. ②Can be customized according to the requirements of the research and development of a variety of types/specifications/purity reference
产品分类 Product List
Product categories

Shaanxi click biotechnology co.,ltd

Contact Us

Shaanxi click biotechnology co.,ltd

Address:

扫一扫关注

Copyright:Shaanxi click biotechnology co.,ltd