Mogroside Ia1

88901-46-6

Name:Mogroside Ia1
Type:88901-46-6
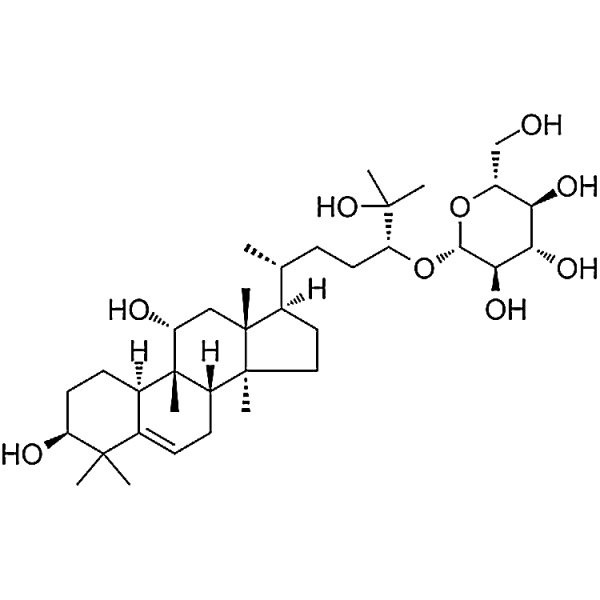
Name:Mogroside Ia1CAS No.:88901-46-6Molecular formula:C36H62O9Formula weight:638.883Purity:HPLC≥98% Package:20mg~g brown glass bottle or other packaging Appearance:powder Test method:high performance liquid phase (HPLC) Mass spectrometry (Mass) nuclear magnetic resonance (NMR) Storage conditions: store in a light-proof container, refrigerate or freeze for long-term storage. Application: for research use only, not for medical diagnosis. Note: ①the sample solution is now used.If special circumstances require preparation in advance, it is suggested to divide into independent packaging and freeze for storage (below -4777℃), and then take out and thaw before use. The storage life is suggested to be less than two weeks. ②Can be customized according to the requirements of the research and development of a variety of types/specifications/purity reference
产品分类 Product List
Product categories

Shaanxi click biotechnology co.,ltd

Contact Us

Shaanxi click biotechnology co.,ltd

Address:

扫一扫关注

Copyright:Shaanxi click biotechnology co.,ltd